安全,高性能,耐用且易于维护。

自1996年以来,丰源只专注于水泵的开发和改进,以满足所有客户的需求。

QNS55~75kW潜水泥沙泵

产品特点
QNS潜水泥沙泵专为使用环境恶劣、抽送含有泥沙或其他磨料的场所而设计,每个部件都充分体现了非常高的耐久性、可靠性及易维修特征。 QNS潜水泥沙泵采用F级绝缘四极电机、高耐磨机械密封、重型半开式高耐磨合金叶轮。 泵下部装有搅拌器,水底沉淀物将被搅拌成悬浮状,再被吸入进水口排出,达到清於或采沙等目的。
  • 所属分类 :
    新产品
  • 浏览次数 : ...
  • 发布时间 : 2026-02-05
  • 详细介绍
  • 产品结构
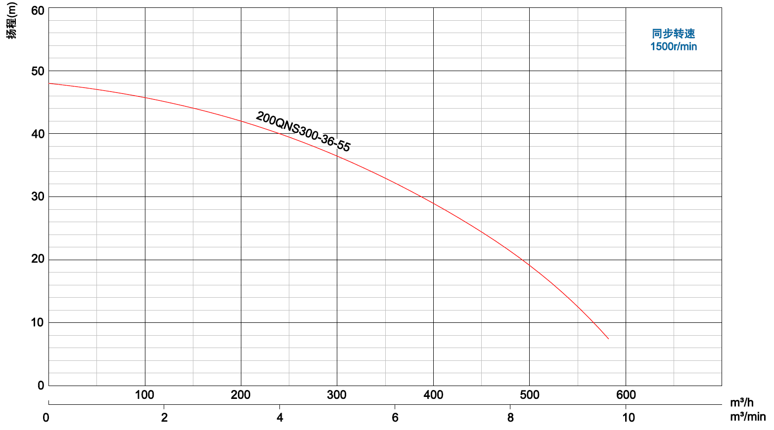
  • 性能曲线
  • 技术参数

使用条件

55~75kW 四极

50Hz:1450rpm

绝缘等级:F

防护等级:IP68

水温:0~40℃

电源:三相380V±10%,50Hz

最大流量:600m³/h

最高扬程:57m

电缆长度: 10米

产品用途

● 水底采沙、河底池塘清於、清理沉淀池

● 工程施工抽排泥沙水、矿山作业面排水

● 工矿企业抽送含有石英砂、煤泥、矿碴等磨料的污水

61

62

63

本文网址 : https://fypumps.com/product/74.html
标签 :

地址 >

  • 中国浙江温岭市东部新区22街1号
  • tzfy@fypumps.com
  • 内销热线:0576-86320188
  • 外贸出口:0576-86320770